Projeto de correntes de peso para pára-choques celular
Você está aqui: Casa » Notícia » Projeto de correntes de peso para pára-choques celular

Projeto de correntes de peso para pára-choques celular

Número Browse:0     Autor:editor do site     Publicar Time: 2022-06-01      Origem:alimentado

Inquérito

facebook sharing button
twitter sharing button
line sharing button
wechat sharing button
linkedin sharing button
pinterest sharing button
whatsapp sharing button
sharethis sharing button

Projeto de correntes de peso para pára-choques celular

Resumo: Este artigo descreve o procedimento de projeto de correntes de peso para defensas celulares.Como seleção e disposição de correntes de peso, método de cálculo de tensão em correntes de peso etc.

Palavras-chave: pára-choque de borracha , estrutura frontal de , corrente de peso, corrente flexível de borracha, tensão na corrente de peso


O sistema de pára-choques de borracha tipo célula é composto principalmente de corpo de pára-choque de borracha tipo célula e placa anti-impacto.A placa de impacto é montada na extremidade dianteira do pára-choque de borracha Acessórios de estrutura de aço, usados ​​para suportar o impacto do navio e aumentar a área de contato entre o pára-choque de borracha e o navio para reduzir a pressão da superfície do pára-choque de borracha no navio .Em condições normais, o próprio pára-choque de borracha celular pode suportar o peso da placa de impacto.No entanto, quando o peso da placa anti-impacto exceder a carga estática permitida especificada na tabela I, ou quando a especificação do pára-choque de borracha exceder 2000H, uma corrente de gravidade deve ser instalada para garantir o funcionamento normal do sistema de pára-choque de borracha, conforme mostrado na figura I.

Figura I

Disposição das correntes de peso

A corrente de peso é geralmente disposta no cilindro de pára-choque de borracha tipo célula sob a gravidade da placa de impacto, uma extremidade do pára-choque de borracha está em ambos os lados, uma extremidade da corrente é fixada na placa de impacto e a outra extremidade é fixada em a parede da costa, como mostrado na Figura I

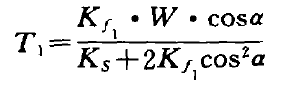
Cálculo da tensão da corrente de peso

T=T1+T2

definir

W: O peso da placa de impacto

Ks: coeficiente de elasticidade de cisalhamento do pára-choque

Kf: coeficiente elástico da corrente de mola de borracha

α : O ângulo entre a corrente de mola de borracha e o eixo Z

β : O ângulo entre a corrente de mola de borracha e o eixo X



Assine a Nossa Newsletter

Receba as atualizações mais recentes sobre novos produtos e vendas futuras
China Marine Rubber (Qingdao) Industrial Co., Ltd (CMR) é um fabricante profissional de pára-choques de borracha marinha e produtos de borracha de engenharia na China.

LINKS RÁPIDOS

PRODUTOS

CONTATE-NOS

 : +86-18766396886
 : +86-13953283589
 : Zona Industrial Jiaobei, Jiaozhou, Qingdao, China
Copyright © 2022 China Marine Rubber (Qingdao) Industrial Co.,Ltd.  Mapa do site | 鲁ICP备2022012721号| Tecnologia por leadong.com